例 3: 関係許可のみの継承

ターゲット・グループ T2 を編集し、「チャット」の標準許可値を「いいえ」に変更します。

ターゲット・グループ T2 の編集

  1. 「ターゲット・グループ」 > 「検索」をクリックします。
  2. 入力フィールドに T2 と入力します。
  3. 送信」をクリックします。
  4. T2 を選択し、「グループを編集」をクリックします。
  5. 「設定の編集」をクリックします。
  6. 「チャット」を含むすべてに「いいえ」を選択します。
  7. 「新規テンプレートに名前をつけて保管」を選択し、テンプレート名に NoChat と入力します。
  8. 送信」をクリックします。

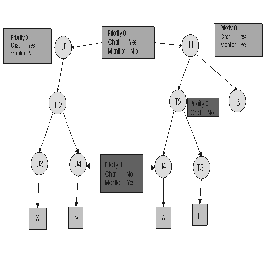
関係許可のみの継承 では、親グループと祖父母グループが存在し、グループ階層内に複数の許可リンクが定義されています。以下の許可が、各セッション例に適用されます。

1. 関係許可のみの継承
グループ U1 と T1、および U4 と T4 の間の許可リンクを示すグループ階層が表示されます。周囲のテキストはその詳細を示しています。