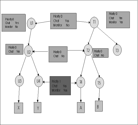
例 5: 高優先度の「はい」が低優先度の「いいえ」よりも優先される

「許可を管理」で既存のリンクを編集し、U4 と T4 の間に定義された優先度 1 のリンクの値を変更します。「チャット」の値を「いいえ」から「はい」に変更します。

許可リンクの編集

  1. 「ターゲット・グループ」 > 「すべてのターゲット・グループ」をクリックします。
  2. 「T4」を選択します。
  3. 「許可を管理」をクリックします。
  4. 「許可を管理」画面が表示されます。
  5. 「既存のプロファイル」ボタンをクリックします。
  6. U4 と T4 の間のリンクを選択します。
  7. セレクター・ボタンをクリックします。
  8. 「チャット」で優先度 1 のオプションが選択されたままにします。値「はい」を選択します。
  9. 送信」をクリックします。

1. 高優先度の「はい」が低優先度の「いいえ」よりも優先される