許可セットの例

以下の例では、次に示すエンティティーが関与するセッションの許可がどのように決定されるかを示します。

4 つのユーザー・グループ、U1 から U4

5 つのターゲット・グループ、T1 から T5

ユーザー X および Y

ターゲット A および B

以下のステップでは、例で使用するユーザー、ターゲット、ユーザー・グループ、およびターゲット・グループを作成します。一連の例により、セッションについてのポリシーおよび許可がどのように導出されるのかを示します。

  1. ユーザー X および Y を作成します。
    1. 「ユーザー」 > 「新規」をクリックします。
    2. ユーザー X に関連する詳細を入力し、「送信」をクリックします。
    3. 上記のステップを繰り返し、ユーザー Y を作成します。

  2. 必要なユーザー・グループ U1 から U4 を作成します。
    1. 「ユーザー・グループ」 > 「新規ユーザー・グループ」をクリックします。
    2. グループ名を入力します。例: U1。
    3. 「送信」をクリックして、デフォルト・テンプレートを受け入れます。
    4. 上記のステップを繰り返し、グループ U2、U3、および U4 を作成します。
  3. ユーザー・グループにユーザーまたはユーザー・グループ・メンバーを割り当てます。
    • ユーザー X をグループ U3 のメンバーにします。
      1. 「ユーザー」 > 「検索」をクリックします。
      2. ユーザー X のユーザー ID またはその他の関連情報を入力します。
      3. ユーザー X を選択し、「グループ・メンバーの管理」をクリックします。
      4. ユーザー・グループ・リストで U3 を選択し、「送信」をクリックします。
        注: 選択されているユーザー・グループが U3 のみであることを確認してください。

    • ユーザー Y をグループ U4 のメンバーにします。
      1. 「ユーザー」をクリックします。
      2. 「検索」をクリックしてから、ユーザー Y のユーザー ID またはその他の関連情報を入力します。
      3. ユーザー Y を選択し、「グループ・メンバーの管理」をクリックします。
      4. ユーザー・グループ・リストで U4 を選択し、「送信」をクリックします。
        注: 選択されているユーザー・グループが U4 のみであることを確認してください。

    • グループ U3 および U4 を U2 のメンバーにします。
      1. 「ユーザー・グループ」をクリックします。
      2. 「検索」をクリックし、U と入力します。
      3. 送信」をクリックします。
      4. U3 と U4 を選択し、「グループ・メンバーの管理」をクリックします。
      5. ユーザー・グループ・リストから U2 を選択します。
        注: 選択されているユーザー・グループが U2 のみであることを確認してください。
      6. 「現在のグループ・メンバーシップへの追加」を選択します。
      7. 送信」をクリックします。

    • U2 を U1 のメンバーにします。
      1. 「ユーザー・グループ」をクリックします。
      2. 「検索」をクリックし、U2 と入力します。
      3. 送信」をクリックします。
      4. U2 を選択し、「グループ・メンバーの管理」をクリックします。
      5. ユーザー・グループ・リストで U1 を選択し、「送信」をクリックします。

  4. 必要なターゲット・グループ T1 から T5 を作成します。
    1. 「ターゲット・グループ」 > 「新規ターゲット・グループ」をクリックします。
    2. グループ名を入力します。例: T1。
    3. 「送信」をクリックして、デフォルト・テンプレートを受け入れます。
    4. 上記のステップを繰り返し、グループ T2、T3、T4、および T5 を作成します。
  5. ターゲット A および B にターゲット・ソフトウェアがインストールされ、各ターゲットがサーバーに接続した後、ターゲットまたはターゲット・グループ・メンバーをターゲット・グループに割り当てます。
    • ターゲット A をグループ T4 のメンバーにします。
      1. 「ターゲット」をクリックします。
      2. 「検索」をクリックしてから、ターゲット A のシリアル番号またはその他の関連情報を入力します。
      3. ターゲット A を選択し、「グループ・メンバーの管理」をクリックします。
      4. ターゲット・グループ・リストで T4 を選択し、「送信」をクリックします。
        注: 選択されているターゲット・グループが T4 のみであることを確認してください。

    • ターゲット B をグループ T5 のメンバーにします。
      1. 「ターゲット」をクリックします。
      2. 「検索」をクリックしてから、ターゲット B のシリアル番号またはその他の関連情報を入力します。
      3. ターゲット B を選択し、「グループ・メンバーの管理」をクリックします。
      4. ターゲット・グループ・リストで T5 を選択し、「送信」をクリックします。
        注: 選択されているターゲット・グループが T5 のみであることを確認してください。

    • グループ T4 および T5 を T2 のメンバーにします。
      1. 「ターゲット・グループ」をクリックします。
      2. 「検索」をクリックし、T と入力します。
      3. 送信」をクリックします。
      4. T4 と T5 を選択し、「グループ・メンバーの管理」をクリックします。
      5. ターゲット・グループ・リストで T2 を選択します。
        注: 選択されているターゲット・グループが T2 のみであることを確認してください。
      6. 「現在のグループ・メンバーシップへの追加」を選択します。
      7. 送信」をクリックします。

    • T2 と T3 を T1 のメンバーにします。
      1. 「ターゲット・グループ」をクリックします。
      2. 「検索」をクリックし、T と入力します。
      3. 送信」をクリックします。
      4. T2 と T3 を選択し、「グループ・メンバーの管理」をクリックします。
      5. ターゲット・グループ・リストで T1 を選択します。
        注: 選択されているターゲット・グループが T1 のみであることを確認してください。
      6. 「現在のグループ・メンバーシップへの追加」を選択します。
      7. 送信」をクリックします。
  6. 特定のユーザー・グループとターゲット・グループの間に許可リンクを作成します。必ずすべての関連ポリシーを有効にしてください。以下の例でリンクを作成します。

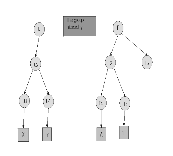
次の図は、作成されるグループ階層を示します。

1. グループ・ツリー図
作成されたグループ階層を示すグループ・ツリー図。