例 4: 優先度値が同一の場合は「いいえ」が「はい」よりも優先されます。

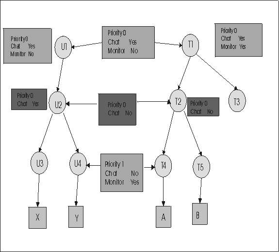
「許可を管理」で、グループ U2 と T2 の間に、許可の優先度が 0 で「チャット」が「いいえ」に設定されたリンクを作成します。

許可リンクの作成

  1. 「ターゲット・グループ」 > 「すべてのターゲット・グループ」をクリックします。
  2. T2 を選択します。
  3. 「許可を管理」をクリックします。
  4. 「許可を管理」画面が表示されます。
  5. 「グループ・ブラウザー」ボタンをクリックします。
  6. 「ユーザー・グループ」の隣にあるセレクター・ボタンをクリックし、U2 を選択します。グループ・リストを展開する必要があります。
  7. セレクター・ボタンをクリックします。
  8. 「ターゲット・グループ」の隣にあるセレクター・ボタンをクリックし、T2 を選択します。
  9. セレクター・ボタンをクリックします。
  10. U2 と T2 の標準ポリシーの組み合わせから導出された許可セットおよび値が表示されます。
  11. 「使用可能」チェック・ボックスをクリックすることにより、ポリシーを選択可能にします。
  12. 「チャット」の値を優先度 0 の「いいえ」に設定し、「モニター」を優先度 0 の「はい」に設定し、「ガイダンス」、「アクティブ」、および「ファイルの転送」をそれぞれ「はい」に設定します。
  13. 「実行依頼」をクリックします。

1. 優先度値が同一の場合は「いいえ」が「はい」よりも優先されます。
U4 と T4、U2 と T2、および U1 と T1 間のリンクを示すグループ階層が表示されます。