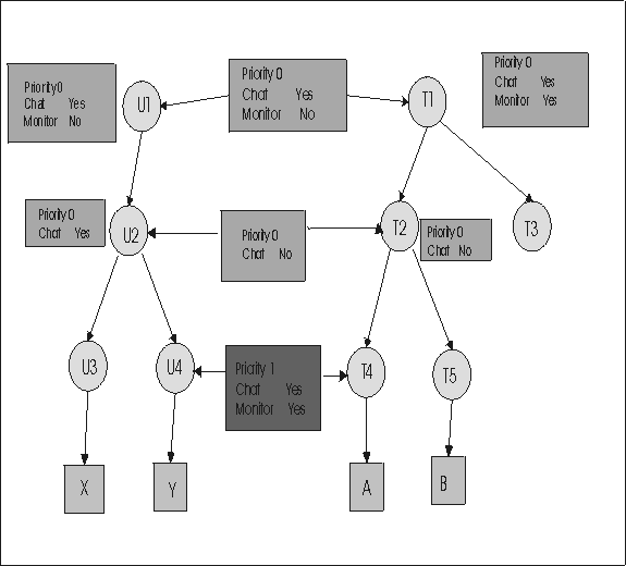
例 5: 高優先度の「はい」が低優先度の「いいえ」よりも優先される
「許可を管理」で既存のリンクを編集し、U4 と T4 の間に定義された優先度 1 のリンクの値を変更します。「チャット」の値を「いいえ」から「はい」に変更します。
許可リンクの編集
- をクリックします。
- T4 を選択します。
- 「許可を管理」をクリックします。
- 「許可を管理」画面が表示されます。
- 「既存のプロファイル」ボタンをクリックします。
- U4 と T4 の間のリンクを選択します。
- セレクター・ボタンをクリックします。
- 「チャット」で優先度 1 のオプションが選択されたままにします。値「はい」を選択します。
- 「送信」をクリックします。
