例 4: 優先度値が同一の場合は「いいえ」が「はい」よりも優先されます。
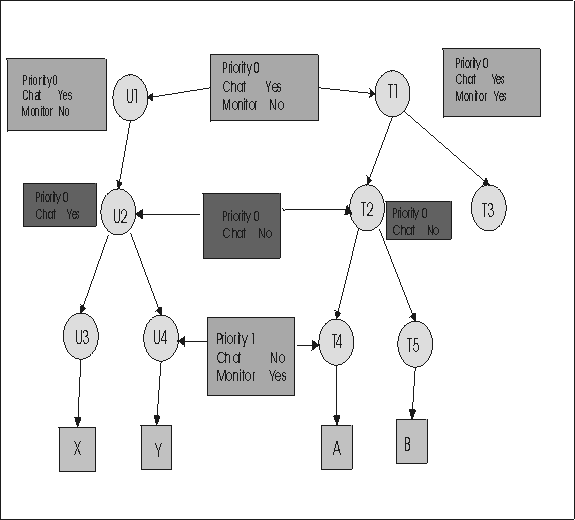
「許可を管理」で、グループ U2 と T2 の間に、許可の優先度が 0 で「チャット」が「いいえ」に設定されたリンクを作成します。
許可リンクの作成
- をクリックします。
- T2 を選択します。
- 「許可を管理」をクリックします。
- 「許可を管理」画面が表示されます。
- 「グループ・ブラウザー」ボタンをクリックします。
- 「ユーザー・グループ」の隣にあるセレクター・ボタンをクリックし、U2 を選択します。グループ・リストを展開する必要があります。
- セレクター・ボタンをクリックします。
- 「ターゲット・グループ」の隣にあるセレクター・ボタンをクリックし、T2 を選択します。
- セレクター・ボタンをクリックします。
- U2 と T2 の標準ポリシーの組み合わせから導出された許可セットおよび値が表示されます。
- 「使用可能」チェック・ボックスをクリックすることにより、ポリシーを選択可能にします。
- 「チャット」の値を priority 0 No に設定し、「モニター」を priority 0 Yes に設定し、「ガイダンス」、「アクティブ」、および「ファイルの転送」をそれぞれ「はい」に設定します。
- 「実行依頼」をクリックします。
