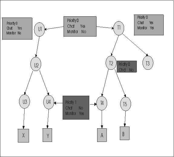
例 3: 関係許可のみの継承
ターゲット・グループ T2 を編集し、「チャット」の標準許可値を「いいえ」に変更します。
ターゲット・グループ T2 の編集
- をクリックします。
- 入力フィールドに T2 と入力します。
- 「送信」をクリックします。
- T2 を選択し、「グループを編集」をクリックします。
- 「設定の編集」をクリックします。
- 「チャット」を含むすべてに「いいえ」を選択します。
- 「新規テンプレートに名前をつけて保管」を選択し、テンプレート名に NoChat と入力します。
- 「送信」をクリックします。
関係許可のみの継承 では、親グループと祖父母グループが存在し、グループ階層内に複数の許可リンクが定義されています。以下の許可が、各セッション例に適用されます。
