Macro SINH
Le SINH est disponible uniquement dans Unica Campaign.
Syntaxe
SINH(data [, units_keyword]) Paramètres
data
Valeurs numériques dont le sinus hyperbolique doit être calculé. Il peut s'agir d'une valeur constante, d'une colonne, d'une plage de cibles ou d'une expression convertie comme l'une de ces valeurs. Pour la définition du format de data, voir la section "Paramètres des fonctions macro" du chapitre du présent document correspondant à votre produit .
units_keyword
Ce mot clé facultatif détermine si les valeurs en entrée et les résultats sont interprétés comme des degrés ou des radians. Sélectionnez l'une des options suivantes :
RADIAN - Effectue les calculs en radians (valeur par défaut)
DEGREE - Effectue les calculs en degrés
Si ce paramètre n'est pas spécifié, la valeur par défaut est radians. (Pour convertir des radians en degrés, divisez par PI et multipliez par 180.)
Pour plus de détails sur l'utilisation des mots clés dans Unica Campaign, voir spécifications de format.
Description
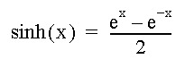
SINH calcule le sinus hyperbolique des valeurs de la plage de données spécifiée. Il renvoie une nouvelle colonne par colonne d'entrée, chacune contenant le sinus hyperbolique des nombres de la colonne d'entrée correspondante. Pour x en radians, le sinus hyperbolique d'un nombre est : 
où e représente le nombre naturel, 2.7182818.
Exemples
TEMP = SINH(1), TEMP = SINH(1, 0) ou TEMP = SINH(1, RADIAN) Crée une nouvelle colonne nommée |
TEMP = SINH(V1) Crée une colonne nommée |
TEMP = SINH(V1:V3, 1) ou TEMP = SINH(V1:V3, DEGREE) Crée trois colonnes nommées |
TEMP = SINH(V1[10:50]:V2) Crée deux colonnes nommées |
Fonctions associées
| Fonction | Description |
|---|---|
COSH |
Calcule le cosinus hyperbolique du contenu de la plage de données spécifiée |
SIN |
Calcule le sinus du contenu de la plage de données spécifiée |
TANH |
Calcule la tangente hyperbolique du contenu de la plage de données spécifiée |