SINH-Makro
Die SINH Makro ist nur in Unica Campaign verfügbar.
Syntax
SINH(data [, units_keyword]) Parameter
data
Die numerischen Werte, deren Hyperbelsinus berechnet werden soll. Dabei kann es sich um einen konstanten Wert, eine Spalte, einen Zellenbereich oder einen Ausdruck handeln, dessen Auswertung einen dieser Typen ergibt. Informationen zur Formatdefinition von data finden Sie im Abschnitt "Makrofunktionsparameter" im Kapitel des vorliegenden Handbuchs für Ihr Produkt.
units_keyword
Dieses optionale Schlüsselwort legt fest, ob die Eingabewerte und Ergebnisse als Grad oder als Radiant interpretiert werden. Eine der folgenden Optionen auswählen:
RADIAN - Führt die Berechnungen in Radiant aus (Standard)
DEGREE - Führt die Berechnungen in Grad aus
Wird dieser Parameter nicht angegeben, ist der Standard Radiant. (Die Umrechnung von Radiant in Grad erfolgt durch Division durch PI und Multiplikation mit 180.)
Weitere Informationen zur Verwendung von Schlüsselwörtern in Unica Campaign finden Sie in Formatspezifikationen.
Syntax
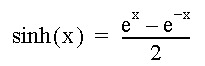
SINH berechnet den Sinus der Werte im angegebenen Datenbereich. SINH gibt für jede Eingabespalte eine neue Spalte zurück, die den Hyperbelsinus der Zahlen in der entsprechenden Eingabespalte enthält. Bei x in Radiant ist der Hyperbelsinus einer Zahl 
.
Dabei ist e die natürliche Zahl, 2,7182818.
Beispiele
TEMP = SINH(1) oder TEMP = SINH(1, 0) oder TEMP = SINH(1, RADIAN) Erstellt eine neue Spalte |
TEMP = SINH(V1) Erstellt eine neue Spalte |
TEMP = SINH(V1:V3, 1) oder TEMP = SINH(V1:V3, DEGREE) Erstellt drei neue Spalten mit den Namen |
TEMP = SINH(V1[10:50]:V2) Erstellt zwei neue Spalten |
Zugehörige Funktionen
| Funktion | Syntax |
|---|---|
COSH |
Berechnet den Hyperbelkosinus des Inhalts des angegebenen Datenbereichs. |
SIN |
Berechnet den Sinus des Inhalts des angegebenen Datenbereichs. |
TANH |
Berechnet den Hyperbeltangens des Inhalts des angegebenen Datenbereichs. |