SINH macro
The SINH macro
is available only in HCLCampaign.
Syntax
SINH(data [, units_keyword]) Parameters
data
The
numerical values to compute the hyperbolic sine of. This can be a
constant value, a column, a cell range, or an expression evaluating
to any of the above. For the format definition of data,
see the "Macro Function Parameters" section in the chapter in this
guide for your HCL
product.
units_keyword
This optional keyword determines whether the input values and results are interpreted as degrees or radians. Select one of the following:
RADIAN
- Performs the calculations in radians (default)
DEGREE
- Performs the calculations in degrees
If this parameter is
not specified, the default is radians. (To convert from radians to
degrees, divide by PI and multiply by 180.)
For more details on using keywords in HCL Campaign, see Format Specifications.
Description
SINH calculates
the hyperbolic sine of the values in the specified data range. It
returns one new column for each input column, each containing the
hyperbolic sine of numbers in the corresponding input column. For
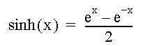
x in radians, the hyperbolic sine of a number is:
where e is the natural number, 2.7182818.
Examples
TEMP = SINH(1) or TEMP = SINH(1,
0) or TEMP = SINH(1, RADIAN)
Creates a new column named |
TEMP = SINH(V1) Creates
a new column named |
TEMP = SINH(V1:V3, 1) or TEMP = SINH(V1:V3,
DEGREE) Creates three new columns
named |
TEMP = SINH(V1[10:50]:V2)
Creates two new columns named |
Related functions
| Function | Description |
|---|---|
COSH |
Computes the hyperbolic cosine of the contents of the specified data range |
SIN |
Computes the sine of the contents of the specified data range |
TANH |
Computes the hyperbolic tangent of the contents of the specified data range |