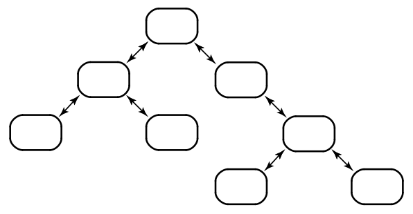
One-to-many synchronization
The one-to-many pattern involves one replica, or root site sending packets to all other replicas in the family.
In the hub patterns (Single-hub synchronization pattern and Multiple-hub synchronization pattern), the hub replicas exchange packets with all spoke replicas. In the tree pattern (Tree synchronization pattern ), the root replicas exchange packets with branch replicas.



Advantages:
- More efficient for the spoke and branch replicas, which send to and receive from only one other replica.
Disadvantages:
- If the hub or root site goes down, all spoke or branch sites must reconfigure their pattern to continue communication.
- If you change the synchronization pattern so that replicas that did not synchronize directly now exchange packets, the first packets that are generated may be too large for the system. To avoid this problem in VOB replica families, you can run chepoch –actual regularly among the spoke or branch replicas. For more information, see the chepoch and sync_export_list reference pages.