Basic Calculations
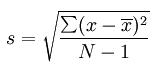
Anomalies are calculated by using a simple standard deviation formula.

where:
- symbol
- Description
-
- Standard deviation
-
- Captured value
-
- Average of captured values
-
- Number of captured values
The standard deviation is calculated by:
- Summing the square of the difference between each value and the average
- Dividing that value by the number of values - 1
- Calculating the square root of that value
When an anomaly is calculated and the count is zero, if at least one interval for that anomaly exists with data before this interval, then the zero count is written as the value for the current interval.